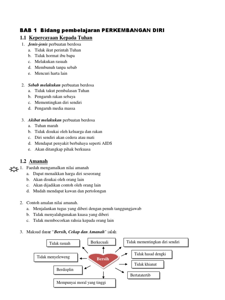
Dasar Bersih Cekap Dan Amanah
Dasar Bersih Cekap Amanah
Bersih Cekap Dan Amanah Lancarkan Pentadbiran Dr Mahathir Utusan Borneo Online
Dasar Bersih Cekap Amanah Bca Objektif
Bersih Cekap Amanah
Jejak Asnaf Bersih 4 0
Bersih Cekap Dan Amanah Lancarkan Pentadbiran Radio Ikim
Dasar Bersih Cekap Dan Amanah Bca By Red Yakuza
Dasar Bersih Cekap Dan Amanah1 Pptx Powerpoint
Moral Notes